
Uprava za indirektno oporezivanje Bosne i Hercegovine saopćila je da će se od 13. februara početi primjenjivati nove maloprodajne cijene cigareta za određene distributere na tržištu BiH.
Kako je navedeno, Uprava je zaprimila zahtjeve za izmjenu cijena od tri distributera, koji će nove cjenovnike uvoditi u različitim terminima.
Od 13. februara na snagu stupaju nove cijene cigareta koje distribuira Tvornica duhana Rovinj (TDR). Prema novom cjenovniku, najskuplje cigarete ovog distributera koštat će 7,20 KM.
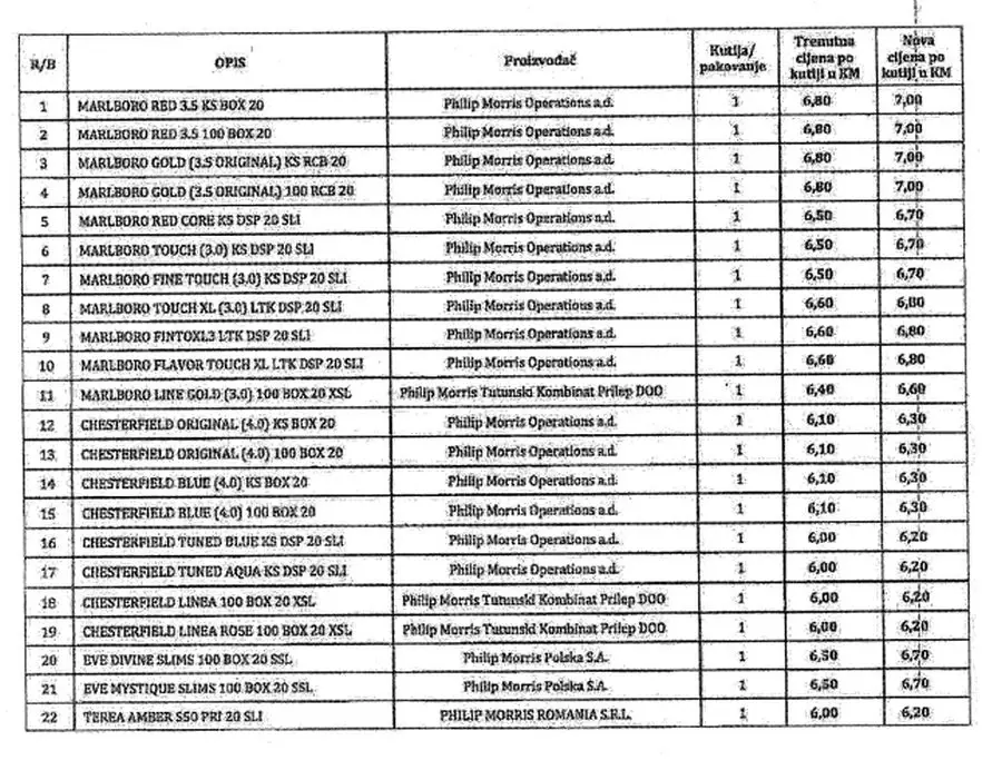
Izmjene cijena najavio je i Philip Morris BH, a novi cjenovnik primjenjivat će se od 19. februara. Cijene će u prosjeku rasti za oko 20 feninga, dok će najskuplje cigarete iz ove ponude iznositi sedam KM.
Nove cijene najavio je i distributer Nelt, čiji će cjenovnik stupiti na snagu 9. marta 2026. godine. Prema tim izmjenama, najskuplje cigarete ovog distributera koštat će 29 KM.
Iz Uprave za indirektno oporezivanje navode da se sve izmjene cijena provode u skladu s važećim propisima, te da će novi cjenovnici biti primjenjivani od datuma koje su dostavili distributeri.










